Simplify Sintan 1X. We know this from the definition of inverse functions. The value of sin(2sin−1(0.8))is equal to.

Answered Simplify sin(tan^1(x/2))Simplify… bartleby
Answered Simplify sin(tan^1(x/2))Simplify… bartleby from www.bartleby.com

Enter the expression you want to simplify into the editor. Sin(2arctan(x)) as an algebraic expression, www.blackpenredpen.com Then #x= cos a and tan.

Then #X= Cos A And Tan.


Answer to simplify the expression.tan(sin−1x). This means that the other leg has to be 1 and by pythagoras, hypotenuse = √ (1+x 2 ). Since tan ( θ) = o p p o s i t e a d j a c e n t, and here tan ( θ) = x 1 we know that

That Is X Into Manus X, Where The This Man Places With X One X As Plus In One X Has Been The Same.


Sin−1(1−x)−2sin−1x=2π , then x is equal to. Solutions for chapter 1.5 problem 70e: For the best answers, search on this site shorturl.im/xaj0a

Α = X = X 1, We Would Have X For The Leg Opposite Α And 1 For The Adjacent Leg;


In order to simplify this expression, we need to reduce the number of terms as low as we possibly can. Mauris vitae ligula quis nisl tincidunt condimentum. So at this moment there are three significant terms.

We Wish To Evaluate Sin.


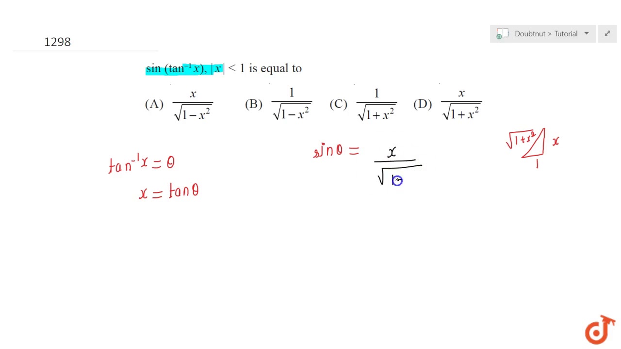
The calculator works for both numbers and expressions containing variables. Misc 15 sin(tan−1 x), |𝑥| < 1 is equal to (a) 𝑥/√(1 − 𝑥2) (b) 1/√(1 − 𝑥2) (c) 1/√(1 + 𝑥2) (d) 𝑥/√(1 + 𝑥2) let a = tan−1 x tan a = x we need to find sin a. I'm aware of how we can simplify functions which have a r c as an argument.

Cancel The Common Factor Of Sin(X) Sin ( X).


Multiply by the reciprocal of the fraction to divide by sin(x) cos(x) sin ( x) cos ( x). The hypotenuse is then x 2 + 1. Tan1y find the exact value of the expression.

Related Posts